I advise you to read this lagre, but important section thoroughly as it will show you alot of useful information and help you get rid of common mistakes and misunderstandings.
As stated previously, Arrays and Pointers share some properties in a way for which there are some common misconceptions. This part deals with those misconceptions and aims to deepen your knowledge. The following explanations are parsed from the linked C FAQ mostly while keeping the exact wording to avoid misinformation.
As this section is getting too huge, here is a List of Contents:
char a[6] in one source, extern char *a in another is not validi[arr] is validNOTE: For information on malloc, free, et al. see the section on Dynamic Memory Allocation.
An array is a single, preallocated chunk of contiguous elements (all of the same type), fixed in size and location.
A pointer is a reference to any data element (of a particular type) anywhere. A pointer must be assigned to point to space allocated elsewhere, but it can be reassigned (and the space, if derived from malloc, can be resized) at any time.
A pointer can point to an array, and can simulate (along with malloc) a dynamically allocated array, but a pointer is a much more general data structure.
Yes, arrays are not pointers and pointers are not arrays. Indeed, you can set type* ptr = arr and iterate through the array elements using the same indexes, s.t. both arr[i] and ptr[i] are valid, but ptr ≠ arr for the in the following explained reason.
Take the following code partition:
char a[] = "hello";
char *p = "world";
This would initialize structures that look like in the following:

The FAQ states further:
The array declaration char a[6] requests that space for six characters be set aside, to be known by the name a. That is, there is a location named a at which six characters can sit. The pointer declaration char *p, on the other hand, requests a place which holds a pointer, to be known by the name p. This pointer can point almost anywhere: to any char, or to any contiguous array of chars, or nowhere.[1]
It is useful to realize that a reference like x[3] generates different code depending on whether x is an array or a pointer. Given the declarations above, when the compiler sees the expression a[3], it emits code to start at the location a, move three past it, and fetch the character there. When it sees the expression p[3], it emits code to start at the location p, fetch the pointer value there, add three to the pointer, and finally fetch the character pointed to. In other words, a[3] is three places past (the start of) the object named a, while p[3] is three places past the object pointed to by p.
In the example above, both a[3] and p[3] happen to be the character 'l', but the compiler gets there differently. (The essential difference is that the values of an array like a and a pointer like p are computed differently whenever they appear in expressions, whether or not they are being subscripted
NOTE: "Pointer arithmetic and array indexing are equivalent in C, pointers and arrays are different" (Wyne Throop)
[1]: Don't interpret "anywhere'' and "nowhere'' too broadly. To be valid, a pointer must point to properly allocated memory; to point definitively nowhere, a pointer must be a null pointer.
I believe we have understood that Arrays are not Pointers now, but a low level look may help the understanding, especially as this page is a self-compiled tutorial on both C and especially Assembly.
Let us look into the following C code:
arrptr.c
#include "stdio.h"
int main(){
int arr[5];
int* ptr = arr;
printf("Arr @ %p\tValue %p\n", &arr, arr);
printf("Ptr @ %p\tValue %p\n", &ptr, ptr);
return 0;
}
The execution will be similar to the following:
$ gcc -m32 -o arrptr arrptr.c && ./arrptr
Arr @ 0xffdb987c Value 0xffdb987c
Ptr @ 0xffdb9878 Value 0xffdb987c
So the address, as well as the value of the label arr is the same, wheras ptr is at another address and has the address of the array as its value, thus pointing on the array only.
NOTE: arr[0] ≠ arr in general, even though arr[0] == *arr will always result in true. However, don't let this bother you and keep reading.
Now let us look into the Array and Pointer Arithemetics in Assembly. To do so, let us look into the following C code:
arithmetics.c
int arr[] = {1, 2, 3, 4, 5};
int* pt = arr;
int main(){
arr[0] = 0;
pt[0]++; // to avoid mistaking with arrays, use `(*(p))++` instead
return 0;
}
This will be assembled into the following:
arithmetics.asm
segment .data
arr:
dd 1, 2, 3, 4, 5
pt:
dd arr ; pt = arr
segment .text
global pt
global arr
global main
main:
mov dword [arr], 0 ; arr[0] = 0
mov eax, dword [pt] ; eax = pt, where pt = arr
add dword [eax], 1 ; pt[0] = 1
xor eax, eax
ret
This Assembly also shows clearly arrays and pointers for what they are, as explained above.
NOTE: For more on the Low Level Arithmetics, see the Arrays in ASM section.
An array is static sized. Once initialized, one cannot just (re-)assign it in C. This means when you need to copy the contents of one array to another, you must do so explicitly. In the case of char arrays, the strcpy and memcpy routines are usually appropriate to do so. However, you are allowed to initialize arrays when you define them, e.g. like this: char a[] = "Hello, world!\n";.
char a[6] in one source, extern char *a in anotherThis will not work. In one source file you defined an array of characters and in the other you declared a pointer to characters. The declaration extern char *a does not declare an array and therefore does not match the actual definition. The type pointer-to-type-T is not the same as array-of-type-T. Use extern char a[] instead.
Passing an array to a function as a parameter is not possible strictly seen. The FAQ explains it as follows:
Since arrays decay immediately into pointers, an array is never actually passed to a function. You can pretend that a function receives an array as a parameter, and illustrate it by declaring the corresponding parameter as an array:
void f(char a[]){
; // do something
}
Interpreted literally, this declaration would have no use, so the compiler turns around and pretends that you'd written a pointer declaration, since that's what the function will in fact receive:
void f(char *a){
; // do something
}
There's nothing particularly wrong with talking about a function as if it "receives'' an array, if the function is traditionally used to operate on arrays, or if the parameter is naturally treated within the function as an array.
This conversion of array-like declarators into pointers holds only within function formal parameter declarations, nowhere else. If the conversion bothers you, you're under no compulsion to make use of it; many programmers have concluded that the confusion it causes outweighs the small advantage of having the declaration "look like'' the call or the uses within the function. (Note that the conversion happens only once; something like char a2[][] won't work.
NOTE: void f(char a[m][n]) will still work as the sizes are specified before compilation.
i[arr] is validYes, accessing i[arr] instead of arr[i] is valid in C as array subscripting is commutative in C[2]. This curious fact follows from the pointer definition of array subscripting, namely that a[e] is identical to *((a)+(e)), for any two expressions a and e, as long as one of them is a pointer expression and one is integral. The "proof'' looks like:
a[e]
<=> *((a) + (e)) // by definition
<=> *((e) + (a)) // by commutativity of + in (ℤ, +, *)
<=> e[a] // by definition
This unsuspected commutativity is often mentioned in C texts as if it were something to be proud of, but it finds no useful application outside of the Obfuscated C Contest.
[2]:The commutativity is of the array-subscripting operator [] itself; obviously a[i][j] is in general different from a[j][i].
It is also possible to set an array's size dynamically at runtime as the equivalence between arrays and pointers allows a pointer to malloced memory to simulate an array quite effectively. Let us look at the following code:
#include <stdlib.h>
int main(){
int *dynarray;
dynarray = malloc(10 * sizeof(int));
// do something
return 0;
}
you can reference dynarray[i] (for i from 0 to 9) almost as if dynarray were a conventional, statically-allocated array int a[10]. The only difference is that sizeof will not give the size of the "array''.
NOTE: With C99, it is also possible to set an array's size at runtime with a variable, e.g. int arr[n] for an n. This is called a "variable length array" (VLA).
The traditional solution is to allocate an array[3] of pointers to pointers, and then initialize each pointer to a dynamically-allocated "row.'' Here is a two-dimensional example:
#include <stdlib.h>
int main(){
int **array1 = malloc(nrows * sizeof(int *));
for(i = 0; i < nrows; i++)
array1[i] = malloc(ncolumns * sizeof(int));
return 0;
}
In real code, of course, all of malloc's return values would be checked. You can also use sizeof(*array1) and sizeof(**array1) instead of sizeof(int *) and sizeof(int); see the footnote[4] .
You can keep the array's contents contiguous, at the cost of making later reallocation of individual rows more difficult, with a bit of explicit pointer arithmetic:
int **array2 = malloc(nrows * sizeof(int *));
array2[0] = malloc(nrows * ncolumns * sizeof(int));
for(i = 1; i < nrows; i++)
array2[i] = array2[0] + i * ncolumns;
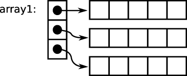
In either case (i.e for array1 or array2), the elements of the dynamic array can be accessed with normal-looking array subscripts: arrayx[i][j] (for 0 ≤ i < nrows and 0 ≤ j < n columns). Here is a schematic illustration of the layout of array1 and array2:

If the double indirection implied by the above schemes is for some reason unacceptable[5], you can simulate a two-dimensional array with a single, dynamically-allocated one-dimensional array:
int *array3 = malloc(nrows * ncolumns * sizeof(int));
However, you must now perform subscript calculations manually, accessing the i,j-th element with the expression:
array3[i * ncolumns + j];
and this array cannot necessarily be passed to functions which expect multidimensional arrays. A macro such as #define Arrayaccess(a, i, j) ((a)[(i) * ncolumns + (j)]) could hide the explicit calculation, but invoking it would require parentheses and commas which wouldn't look exactly like conventional C multidimensional array syntax, and the macro would need access to at least one of the dimensions, as well.
Yet another option is to use pointers to arrays:
int (*array4)[NCOLUMNS] = malloc(nrows * sizeof(*array4));
or even
int (*array5)[NROWS][NCOLUMNS] = malloc(sizeof(*array5));
but the syntax starts getting horrific as accesses to array5 look like (*array5)[i][j], and at most one dimension may be specified at run time.
[3]: Strictly speaking, these aren't arrays, but rather objects to be used like arrays.
[4]: Any time you're allocating space for a pointer p to point to, it can be a good idea to use the idiom p = malloc(n * sizeof(*p)) rather than the more obvious p = malloc(n * sizeof(int)), where of course the type we need the size of isn't necessarily int, but rather whatever type it is that p points to[4.1]. The reason is that the code is more self-contained, more self-documenting, and more robust: a reader looking at this way.
Using p = malloc(n * sizeof(*p)) one can see immediately that the correct amount of space is being allocated, without looking back at p's declaration to see what type it is. If p's type ever changes, the malloc call may not have to change.
The sizeof(p) form can also be seen in the array4 and array5 examples.
[4.1]: In fact, the language I've had to use in this parenthetical provides another argument in favor of the sizeof(*p) form: the English construction "the type we need the size of... is whatever type it is that p points to'' describes precisely the same notion that the C construction sizeof(*p) succinctly captures.
[5]: Note however that double indirection is not necessarily any less efficient than multiplicative indexing.
With all of these techniques, you may of course need to remember to free the arrays when they are no longer needed. In the case of array1 and array2 this takes several steps:
for(i = 0; i < nrows; i++)
free((void *)array1[i]);
free((void *)array1);
free((void *)array2[0]);
free((void *)array2);
Also, you cannot necessarily intermix dynamically-allocated arrays with conventional, statically-allocated ones.
All of these techniques can also be extended to three or more dimensions. Here is a three-dimensional version of the first technique (which, like the rest of the fragments presented here, requires error-checking before being used in a real program):
int ***a3d = (int ***)malloc(xdim * sizeof(int **));
for(i = 0; i < xdim; i++) {
a3d[i] = (int **)malloc(ydim * sizeof(int *));
for(j = 0; j < ydim; j++)
a3d[i][j] = (int *)malloc(zdim * sizeof(int));
}
The rule by which arrays decay into pointers is not applied recursively, so once the rule has been applied once, the result is a pointer to which the rule no longer applies. An array of arrays (i.e. a two-dimensional array in C) decays into a pointer to an array, not a pointer to a pointer. Pointers to arrays can be confusing, and must be treated carefully.
If you are passing a two-dimensional array to a function:
int array[NROWS][NCOLUMNS];
f(array);
the function's declaration must match:
void f(int a[][NCOLUMNS]){
// do something
}
or:
/* ap is a pointer to an array */
void f(int (*ap)[NCOLUMNS]){
// do something
}
In the first declaration, the compiler performs the usual implicit parameter rewriting of "array of array'' to "pointer to array''; in the second form the pointer declaration is explicit. Since the called function does not allocate space for the array, it does not need to know the overall size, so the number of rows NROWS can be omitted. The width of the array is still important, so the column dimension NCOLUMNS (and, for three- or more dimensional arrays, the intervening ones) must be retained.
If a function is already declared as accepting a pointer to a pointer, it is almost certainly meaningless to pass a two-dimensional array directly to it. An intermediate pointer would have to be used when attempting to call it with a two-dimensional array:
extern g(int **ipp);
int *ip = &array[0][0];
g(&ip); /* PROBABLY WRONG */
but this usage is misleading and almost certainly incorrect, since the array has been "flattened'' (its shape has been lost).
The solution I personally would use for unknown sized arrays would be an array of pointers to arrays instead. This would be a structure like in the previous picture shown again below:
When passing pointers however, make sure to either have the last element set NULL or deliver the length too, such that you don't access an element outside of the assigned memory and avoid a Segmentation Fault or an unexpected behavior.
NOTE: If calling a function, the local values are still within the stack, so still accessible to the called function. So by sending a pointer to a local "object", the function can also access that object either. So you can send a pointer on the first element of the "array of pointers to arrays" (array1 of above) to the function and work on there as well.